Up 複数の立方体でなる図形の重心  


    「複数の正方形でなる図形の重心」の考えを「空間」に延長すれば,「複数の立方体でなる図形の重心」になります。

    同じ立方体 (「単位立方体」) がn個でなる立体図形Sを考えます。

    Sの重心をGとし,各立方体の中心 (重心) をPk とします (k=1, ‥‥, n)。
    各Pk には,同じ重力ベクトル F が作用しています。
    そこで,Gにおける「重力のモーメントが釣り合う」の条件は,つぎのようになります:
    そして外積の分配法則により
    となるので,つぎが導かれます:
    F は任意──すなわち,重力方向に対する図形の傾きは任意──なので,これは「重心」の条件になっていると見なせます。

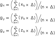
    ここで,任意に xyz 直交座標を導入して, G(gx, gy, gz), Pk(xk, yk, zk) (k=1, ‥‥, n) とすれば,上の条件は,つぎのようになります:
    すなわち,

    この式に,単位の立方体の体積 (数値) Δ をつぎのように組み入れます:


    これは,つぎの表現になります: